Darmon’s conjecture on Stark-Heegner points by Victor Rotger

(DMAT, IMTech). Received on 21 November, 2022.

Motivation: the conjecture of Birch and Swinnerton-Dyer
In order to celebrate mathematics in the new millennium, the Clay Mathematics Institute proposed seven challenges and one of these is the conjecture of Birch and Swinnerton-Dyer (BSD), widely open since the sixties. A large portion of my research is devoted to the conjecture of Birch and Swinnerton-Dyer on elliptic curves over number fields and their generalizations by Bloch and Kato (BK) to arbitrary motives associated to higher-dimensional algebraic varieties over global fields, and here we report on recent progress in this direction due to H. Darmon and myself in [DR3], [DR4].

An elliptic curve over a field K is a smooth, projective algebraic curve of genus one over K, on which there is a specified rational point O. When the characteristic of K is different from 2 and 3, they are usually exhibited by means of an affine Weierstrass equation

where A, B are elements in K such that the discriminant 4A3 − 27B2 does not vanish.

The geometry and arithmetic of E is pretty well-understood when the ground field K is the field of real or complex numbers, or a finite field. However, when K is a number field, that is to say, a finite extension of the field of rational numbers, the arithmetic of E becomes highly mysterious and is the object of many intriguing open questions. BSD in concerned with the (seemingly innocuous) problem of determining the whole set E(K) of points on E whose coordinates lie in K. To convey the difficulty of the problem, it is best to illustrate it with an example. Take the elliptic curve

over the field of rational numbers. Finding a non-trivial solution to this equation over Q is a highly non-trivial problem: few years ago, Stoll employed a 4-descent method to show that the coordinates of the simplest solution are

x = 2263582143321421502100209233517777/119816734100955612,
y = 186398152584623305624837551485596770028144776655756/119816734100955613.

Needless to say, the task becomes even more daunting when one faces the problem of proving general statements about the set of solutions of a whole class of equations over a wide variety of number fields. Elliptic curves are distinguished by the fact that they are equipped with a rich algebraic structure: a composition law that makes it possible to generate new solutions from already given ones. This law is at the heart of the many practical applications of elliptic curves to coding and public-key cryptography.

When K is a number field, E(K) is a finitely generated abelian group, called the Mordell-Weil group of E/K, and its rank r = r(E/K) is the most important and mysterious invariant of the global arithmetic of E/K.

Besides, associated with the elliptic curve there is a holomorphic function L(E/K, s) commonly referred to as the L-series or zeta function of E/K. It is a complex-analytic function defined by an infinite product ranging over the set of prime ideals of the ring of integers of K which encodes the number of solutions of E over the associated finite residue fields. While this product only converges absolutely on the right-half plane Re(s) > 3/2, it is conjectured to extend to an entire function on the whole complex plane and to satisfy a functional equation whose center of symmetry is the point s = 1. Such expectations are known to hold in many cases, for instance when K is the field of rational numbers, thanks to Wiles’ celebrated modularity theorem.

The Conjecture of Birch and Swinnerton-Dyer states that the rank of the Mordell-Weil group E(K) should be equal to the order of vanishing at s = 1 of L(E/K, s). This conjecture may be interpreted as an analogue for elliptic curves of the analytic class number formula for number fields, and was proposed by Brian Birch and Peter Swinnerton-Dyer in the sixties, who verified it numerically in a number of examples. A more refined version of the conjecture formulates a precise recipe for the first non-vanishing coefficient in the Taylor expansion of L(E/K, s) about s = 1 in terms of several local and global arithmetic invariants of E, including the cardinal of its Tate-Shafarevic group, which at present it is not even known to be finite.

BSD stands as the tip of the iceberg formed by the vast conjectural program of Beilinson, Bloch and Kato, and all the attempts taken so far to proving it exploit the deep connections between Shimura varieties, Galois representations and automorphic forms. Hence the conjecture can actually be stated in a much more general context, including the twist of E by irreducible Artin–Galois representations of the absolute Galois group G_{K} of K. The generalization of BSD formulated by Bloch and Kato [BK] applies to arbitrary motives arising from higher-dimensional varieties.

State of the art

In 1976, Coates and Wiles [CW] came up with the first breakthrough on BSD. Their result became ten years later a particular case of the ground-breaking theorem of Gross, Zagier and Kolyvagin [GZ], [Ko], which was in turn generalized by Zhang by means of a similar but more modern and robust approach. The combination of their results allowed to prove BSD for the base change of all modular elliptic curves E/Q to an anticyclotomic abelian extension H/K of an imaginary quadratic field K, provided the order of vanishing of each of the factors of L(E/H, s) is at most 1. The celebrated work by Wiles and his collaborators on Fermat’s Last Theorem showed that all elliptic curves over Q are modular, and hence one could deduce the following statement from the above results:

Theorem 1 (Coates, Gross, Kolyvagin, Wiles, Zagier, Zhang). Let E/Q be an elliptic curve.
BSD0: If L(E/Q, 1)̸ = 0 then E(Q) is torsion.
BSD1: If L(E/Q, 1) = 0 and L′(E/Q, 1)̸ = 0 then E(Q) has rank 1.

The above claims were proved in all cases by exploiting a suitable Euler system. In the literature one encounters different conceptions of what an Euler system is, ranging from the very systematic approach of Rubin to the more flexible point of view adopted in [BCDDPR]. In all known instances, an Euler system consists of a norm-compatible collection of global Galois cohomology classes arising from geometry, whose local components are related to special values of p-adic L-functions. Even if one takes the most flexible definition of what a decent Euler system should be, there are very few known examples of them. Coates and Wiles invoked the Euler system of elliptic units for proving statement BSD0 above in the setting where E has complex multiplication. Gross, Zagier, Kolyvagin and Zhang exploited instead the Euler system of Heegner points to prove BSD0 and BSD1 for arbitrary elliptic curves.

Nekovar generalized these results to the motive associated by Scholl to arbitrary eigenforms of higher weight, proving this way a non-trivial instance of Bloch-Kato’s (BK) conjectures. Soon after [GZ] and [Ko] appeared in press, Kato [Ka] surprised again the world with another astonishing result: he managed to prove BSD for twists of elliptic curves by Dirichlet characters of arbitrary order, provided the L-series does not vanish at s = 1. In particular, BSD follows for the base-change of E to any abelian extension F/Q, provided L(E/F, 1) ≠ 0.

While the progress achieved at the end of the eighties invited to some optimism, the whole number-theory community was at a loss for more than twenty years at finding new ideas for tackling BSD. The drought ended a few years ago, when at least three ground-breaking and completely different approaches saw the light around five years ago:

(1) the work of the Fields medallist M. Bhargava, in collaboration with various  mathematicians (cf. [Bh] and references therein),
(2) the work of C. Skinner and E. Urban ([SU] and their subsequent publications) and
(3) my own work with M. Bertolini, H. Darmon and A. Lauder: cf. [BDR], [DR1], [DR2], [DLR].

The three points of view are complementary and cross-fertile. The counting techniques pioneered by Bhargava allow to prove results of statistic nature on the average size (resp. rank) of the Selmer group (resp. Mordell-Weil) group of an elliptic curve. Besides, Skinner and Urban exploit families of automorphic forms on unitary groups to prove the Iwasawa main conjecture for GL(2), which allow them to prove converses of the theorems of Gross, Zagier and Kolyvagin. Finally, my work with Darmon introduces a new Euler system: the system of diagonal cycles varying over a triplet of Hida families (cf. [DR1] and [DR2]). It
allowed us to prove many new instances of BSD in rank 0 for a large family of number fields which was beyond the scope of previous techniques. Specially striking is the case of anticyclotomic abelian extensions of real quadratic fields, as this was the ideal application of Darmon’s still unproved exciting conjectures [D] announced at the ICM in Madrid 2006.

Darmon’s conjecture on Stark-Heegner points As mentioned already, at the end of the previous century the only known contribution to BSD were the results of Coates-Wiles, Gross-Zagier-Kolyvagin and Kato. In particular BSD was a mystery already in the following simple setting, which was considered to lie just beyond the techniques that were available at the time:

Let E/Q be an elliptic curve of prime conductor p over the field of rational numbers. Let K be a real quadratic field in which p remains inert and be a dihedral character of K of conductor relatively prime to p · disc(K).

It is not difficult to verify that the order of vanishing of the L-function L(E/K, Ψ, s) associated to the twist of E/K by Ψ at s = 1 is odd. One actually expects this order of vanishing to be equal to 1 in almost all cases. In this scenario, BSD predicts the existence of a non-trivial global point in the Ψ-isotypical component

of the Mordell-Weil group of E over the abelian extension H/K cut out by Ψ. As soon as Ψ is not quadratic, the theory of Heegner points becomes helpless and one is at a loss for constructing the putative point that is expected to exist. Let K_{p} denote the p-adic completion of K, a quadratic unramified extension of the field Q_{p} of p-adic numbers. In 1999, H. Darmon invented his theory of Stark-Heegner points (now often called Darmon points), supplying a collection

of points of pure local nature, indexed by dihedral characters of K as above.

Darmon formulated a revolutionary conjecture on their global rationality, whose proof would give rise to the sought-after points in E(H)[Ψ] as predicted by BSD. We refer the reader to his address [D] at the International Congress of Mathematicians celebrated in Madrid in 2006.

However, until recently Darmon’s conjecture remained completely open. The main contribution of my recent works [DR3], [DR4] in collaboration with Henri Darmon is proving this conjecture up to the finiteness of the relevant Tate-Shafarevic group, under minor technical hypotheses.

In order to state our result more precisely, let Sel_{p}(E/H)[Ψ] denote the Ψ-isotypic component of the global Selmer group of the base change of E to the class field H. This group is a sort of cohomological stand-in for E(H)[Ψ], the Ψ-isotypic component of the Mordell-Weil group of E over H, which is where Darmon’s Stark-Heegner points z_{Ψ} are conjectured to lie. More precisely, Sel_{p}(E/H)[Ψ] contains E(H)[Ψ], and the extent to which this inclusion fails to be an equality is measured by a pro-p Tate-Shafarevic group. Since the latter is conjectured to be trivial, one expects all global Selmer classes should actually belong to E(H)[Ψ].

The main theorem we prove in [DR3], [DR4] may be roughly stated as follows in the above scenario, up to an analytic non-vanishing assumption that is always expected to hold.

Theorem 2 (Darmon-Rotger). There exists a global Selmer class κ_{Ψ} in Selp(E/H)[Ψ] such that its local component at p is Darmon’s Stark-Heegner point z_{Ψ}.

Idea of proof

The main idea underlying the proof of the main theorem in [DR3], [DR4] consists in recasting the statements we aim to prove in terms of a p-adic L-function associated to a triple (f, g, h) of p-adic families of ordinary overconvergent modular forms, which for simplicity may be denoted Lp(f, g, h). This notation is however oversimplifying, as it sweeps under the rug some of the most delicate properties of this p-adic L-function. Indeed, this three-variable function is constructed by interpolating the square-root of the central critical value of the complex Garrett L-function associated to a triple f (k), g(ℓ), h(m) of classical
specializations of the families f , g and h, divided by a suitable period.

The weights k, ℓ and m of these specializations must be chosen in such a way that the sign of the functional equation of the motive associated to the triple (f (k), g(l), h(m)) is +1. Under minor technical assumptions, this amounts to saying that one of the weights is larger than or equal to the sum of the other two.

This automatically gives rise to three different natural regions of interpolation, depending on which of the three weights is taken to be the dominant one. In consequence there arise three different p-adic L-functions, depending on the chosen region of interpolation, that we call Lp(f ; g, h), Lp(g; f, h) and Lp(h; f, g), respectively. The family that appears first corresponds to the one whose weight is dominant in the region of interpolation, and the period intervening in the interpolation formula only depends on this family. The order in which the latter two families appear is irrelevant.

Choose the above families in such a way that f specializes in weight two to the eigenform associated by Wiles to the elliptic curve E, and let g and h be cuspidal Hida families specializing in weight one to eigenforms whose associated Artin representations satisfy that their tensor product contains as an irreducible constituent the two-dimensional induced representation Ind(Ψ) from K to Q.

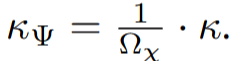
Thanks to the work of Bertolini, Seveso and Venerucci [BSV], one can show that the second partial derivative of Lp(f ; g, h) along the first family at the triple of weights (2, 1, 1) is a multiple of the logarithm of a global class κ in the Selmer group of the twist of E/K by Ψ. As explained in [DR3], our theorem follows after showing that Lp(f ; g, h) factors as the product Lp(f ; g, h) = Lp(E/K, Ψ, s) · Lp(E/K, χ, s) of two further p-adic L-functions, up to auxiliary terms; the first derivative of the first factor at the point (2, 1, 1) encodes Darmon’s Stark-Heegner point, while the first derivative of the second factor is a non-vanishing period Ω_{χ} thanks to our running assumption. The sought-after class κ_{Ψ} is obtained by taking

A non-trivial problem one encounters at the outset is the fact that the parameter space of the Euler system that Darmon and myself constructed long ago in [DR2] was only one-dimensional, while the proof of the conjecture required a much more flexible Euler system, varying freely along the three-dimensional weight space afforded by the three weights of the Hida families f , g and h. This was addressed in [DR4].

References
[BSV] M. Bertloni, M. Seveso, R. Venerucci, Reciprocity laws for balanced diagonal classes, Astérisque 434 (2022), 77–174.

[Bh] M. Bhargava, Address at the International Congress of Mathematicians in Seoul, 2014.

[BK] S. Bloch, K. Kato, L-functions and Tamagawa numbers of motives, in The Grothendieck Festschrift I, Progr. Math. 108, 333-400 (1993), Birkhauser.

[CW] J. Coates, A. Wiles, On the conjecture of Birch and Swinnerton-Dyer, Invent. Math. 39 (1977), 223– 251.

[BCDDPR] M. Bertolini, F. Castella, H. Darmon, S. Dasgupta, K. Prasanna, and V. Rotger, p-adic L-functions and Euler systems: a tale in two trilogies, Proceedings of the 2011 Durham symposium on Automorphic forms and Galois representations, London Math. Society Lecture Notes 414, (2104) 52–101.

[BDR] M. Bertolini, H. Darmon, V. Rotger, Beilinson-Flach elements and Euler Systems I: syntomic regulators and p-adic Rankin L-series, Journal of Algebraic Geometry, 24 (2015), 355–378.

[D] H. Darmon, Integration on Hp × H and arithmetic applications, Annals of Mathematics (2) 154 (2001), no. 3, 589–639.

[DLR] H. Darmon, A. Lauder V. Rotger, Stark points and p-adic iterated integrals attached to modular forms of weight one. Forum of Mathematics, Pi, (2015), Vol. 3, e8, 95 pages.

[DR1] H. Darmon, V. Rotger, Diagonal cycles and Euler systems I: a p-adic Gross-Zagier formula, Annales Scientifiques de l’Ecole Normale Supérieure 47, n. 4 (2014), 779–832.

[DR2] H. Darmon, V. Rotger, Diagonal cycles and Euler systems II: the Birch and Swinnerton-Dyer conjecture for Hasse-Weil-Artin L-series, Journal of the American Mathematical Society 30 Vol. 3, (2017) 601–672.

[DR3] H. Darmon, V. Rotger, Stark-Heegner points and diagonal classes, Astérisque 434 (2022), 1–28.

[DR4] H. Darmon, V. Rotger, p-adic families of diagonal cycles, Astérisque 434 (2022), 29–76.

[GZ] B. Gross, D. Zagier, Heegner points and derivatives of L-series, Invent. Math. 84 (1986), 225–320.

[Ko] V. Kolyvagin, Finiteness of E(Q) and LLI(E, Q) for a subclass of Weil curves, Izv. Akad. Nauk SSSR Ser. Mat. 52 (1988), no. 3, 670–671; translation in Math. USSR-Izv. 32 (1989), no. 3, 523–541.

[Ka] K. Kato, p-adic Hodge theory and values of zeta functions of modular forms, Cohomologies p-adiques et applications arithmétiques III, Astérisque 295 (2004), ix, 117–290.

[SU] C. Skinner, E. Urban, The Iwasawa main conjectures for GL(2), Inventiones Math. 195 (2014), 1-277.

Scroll al inicio